| Packet and circuit switching | |
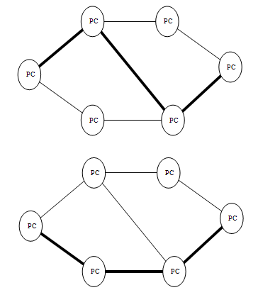
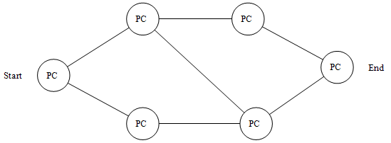
The internet is a incredibly large collection of interconnected networks. There are so many connections that there is more than one way for a single packet to reach its destination. This is like our road system. There are many different ways to get from one place to another. Some ways a quick, some are slow and some are just plain silly (for example going from Reading to London via Birmingham!). Because of all of the links the internet is very resilient to broken lines. If one line is broken then another one can be used. The only problem with all of these paths is that a route needs to be worked out to get from one PC to another. The above network diagram shows a number of PC's connected together by links. A single packet can travel down the network in a number of different ways. Two of those ways are shown below (links traveled are shown in bold) |
|